使用 PTOMoveRelative 时的脉冲和时间计算

概述

在使用 PTOMoveRelative 时,除非被中断,否则将遵循脉冲总数。

因此请务必注意,根据参数的不同,有以下三种可能的移动轮廓情况:

o恰巧满足达到目标频率所需的最小脉冲数。

o当指定的脉冲总数大于达到目标频率所需的最小脉冲数时(梯形轮廓)。

o当指定的脉冲总数小于达到目标频率所需的最小脉冲数时。

情况 1:最小脉冲数

可通过距离输入来指定从当前轴位置到目标位置的移动。距离输入是执行移动所需的脉冲数。您定义的参数可以定义达到目标速度所需的最小脉冲数。距离(例如脉冲数)对应于频率(例如速度)轮廓下的面积。

轴遵循以下轮廓:

G-SE-0026871.1.gif-high.gif

 

 

如果我们考虑仅在一点达到目标速度的限制情况,则轮廓遵循三角形轮廓。

此时,最小脉冲数 Pmin 定义如下:

G-SE-0026849.1.gif-high.gif

 

fstart   起始频率

fstop   停止频率

ftarget   速度目标

tacc   加速时间 (1)

tdec   减速时间 (2)

注意:

(1) 如果您已经定义加速度 (a) 而不是加速时间 (tacc),则下列公式适用:

G-SE-0026851.2.gif-high.gif

 

 

(2) 如果您已经定义减速率 (d) 而不是减速时间 (tdec),则下列公式适用:

G-SE-0026850.2.gif-high.gif

 

 

情况 2:脉冲数大于最小值(梯形轮廓)

如果您设置了许多脉冲,以致大于在距离输入上执行移动所需的最小脉冲数,那么,轴的速度将遵循梯形轮廓:

G-SE-0026855.1.gif-high.gif

 

 

在梯形轮廓中,您定义:

o加速时间 (tacc) 或加速度 (a) (2)

o减速时间 (tdec) 或减速度 (d) (2)

o频率目标 (ftarget)

o起始频率:(fstart)

o停止频率:(fstop)

o距离或脉冲数 (P) (1)

根据这些参数,我们可以获得:

o匀速时间 (ttarget)

o总操作时间 (ttotal)

注意:

o(1) 在此情况下,脉冲数大于或等于最小脉冲数(请参阅最小脉冲数)。

o(2) 如果已定义加速度/减速度,请使用公式获取加速/减速时间(以毫秒为单位)。

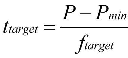
首先,需要计算最小脉冲数 (Pmin)

G-SE-0026852.2.gif-high.gif

 

 

总操作时间 ttotal 定义为:

G-SE-0026853.2.gif-high.gif

 

 

情况 3:脉冲数小于最小值

如果定义的距离输入小于在最小脉冲数中描述的最小脉冲数,则不会达到目标频率。HMI SCU 固件会缩短功能块的输出加速/减速时间(t1 和 t2),并且会降低可以达到的最大频率 (fmax)。

轴遵循以下轮廓:

G-SE-0026872.1.gif-high.gif

 

 

在此轮廓中:

o重新计算的加速时间 (t1) (1)

o重新计算的减速时间 (t2) (1)

o频率目标 (ftarget)

o起始频率:(fstart)

o停止频率:(fstop)

o距离或脉冲数 (P)

注意: (1) 如果选择毫秒用作加速和减速单位,则求解方程组时使用 a = ftarget/tacc 和 d = ftarget/tdec

您可以通过求解以下方程组来获得以下三个值(t1、t2 和 fmax):

G-SE-0026854.3.gif-high.gif

 

 

 

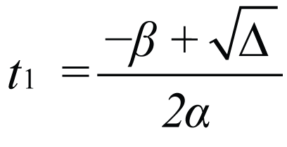
o对于以上方程组,缩短的加速时间 t1 如下计算:

G-SE-0029922.3.gif-high.gif

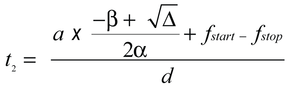
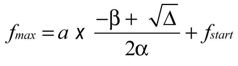
其中:

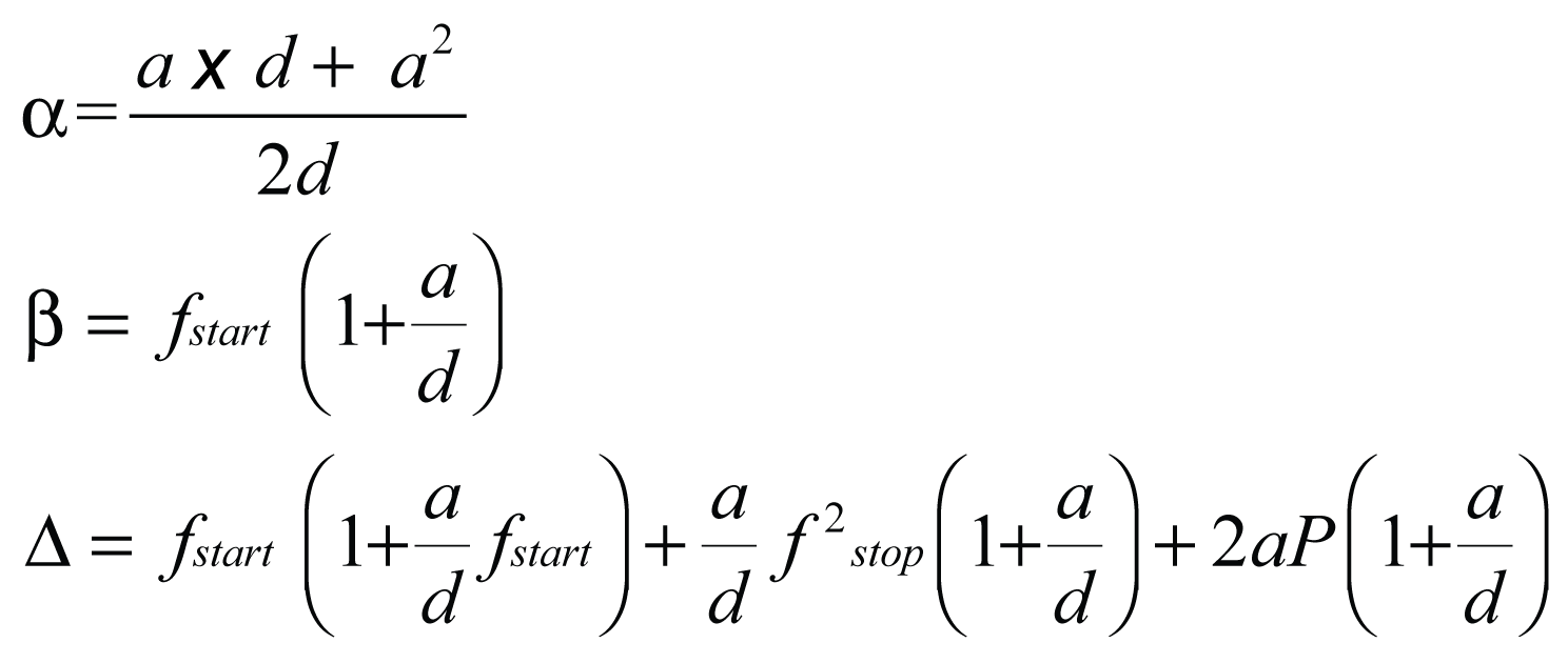
G-SE-0029923.3.gif-high.gif

o缩短的减速时间 t2 如下计算:

G-SE-0029924.3.gif-high.gif

o 达到的最大频率 fmax 如下计算:

G-SE-0029925.3.gif-high.gif

 

注意: 如果新的 fmax ≤ 起始频率停止频率,则会检测到 PTO 错误,并且不启动任何运动控制。

注意: 如果距离 = 1、2 或 3 个脉冲,则以配置的停止频率输出脉冲。这适用于通过频繁反复启动电机进行的手动定位。