Signal_Statistics:计算最大值、最小值、平均值和方差

 

Signal_Statistics 功能块

引脚图

下图所示为 Signal_Statistics 功能块的引脚图:

G-SG-0030326.3.gif-high.gif

 

 

功能描述

此功能块计算一系列输入值的最大值、最小值、平均值和方差。

此功能块将每个控制器扫描周期内的输入值视为一个采样。

最小值

最小输出值为在所有记录的采样中最小的值。

最大值

最大输出值为在所有记录的采样中最大的值。

平均值

平均值等于所有观测值(采样)之和除以观测(采样)次数。

G-SG-0030575.1.gif-high.gif

 

 

其中:

on = 所记录的采样数

oXn = 输入采样

oG-SA-0045112.1.gif-high.gif = 计算的输出

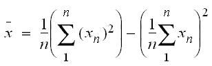
方差值

方差等于各个采样平方的平均值减去平均值的平方(平均输出值)。

G-SA-0045197.1.gif-high.gif

 

其中:

on = 所记录的采样数

oXn = 输入采样

o G-SA-0045112.1.gif-high.gif = 计算的输出

示例

o统计启用:= TRUE,输入:= 1, 2

o最小值输出 = 1

o最大值输出 = 2

o平均值 = (1 + 2) / 2 = 1.5

o方差 = ((1 * 1 + 2 * 2) / 2) - (1.5 * 1.5) = 2.5 - 2.25 = 0.25

输入引脚描述

下表描述了 Signal_Statistics 功能块的输入引脚:

输入

数据类型

说明

i_xEn

BOOL

TRUE:FB 启用

FALSE:FB 禁用

i_rIput

REAL

位位置

范围:±3.4e+38

输出引脚描述

下表描述了 Signal_Statistics 功能块的输出引脚:

输出

数据类型

说明

q_xActv

BOOL

FB 状态输出

q_rMin

REAL

最小值

范围:±3.4e+38

q_rMax

REAL

最大值

范围:±3.4e+38

q_rAvge

REAL

平均值

范围:±3.4e+38

q_rVrnc

REAL

方差值

范围:±3.4e+38