TM3TI8T/TM3TI8TG

Introducción

El módulo de extensión TM3TI8T (bloque de terminales de tornillos) / TM3TI8TG (bloque de terminales de resortes) presenta ocho canales de entradas analógicas con una resolución de 16 bits.

Los tipos de entradas del canal son:

  • Termoelemento K

  • Termoelemento J

  • Termoelemento R

  • Termoelemento S

  • Termoelemento B

  • Termoelemento E

  • Termoelemento T

  • Termoelemento N

  • Termoelemento C

  • Termistor NTC

  • Termistor PTC

  • Ohmímetro

Para obtener información sobre los códigos de diagnóstico generados por cada tipo de entrada, consulte Diagnósticos de módulos de E/S analógicas.

Para obtener más información sobre el hardware, consulte TM3TI8T/TM3TI8TG.

NOTA:

Si ha conectado físicamente el canal analógico para una señal de tensión y configura el canal para una señal de corriente en EcoStruxure Machine Expert, puede dañar el circuito analógico.

AVISO
EQUIPO INOPERATIVO
Verifique que el cableado físico del circuito analógico es compatible con la configuración de software del canal analógico.
Si no se siguen estas instrucciones, pueden producirse daños en el equipo.

Configuración del módulo

En cada entrada puede definir los parámetros siguientes:

Parámetro

Valor

Valor predeterminado

Descripción

Tipo

  • No se utiliza

-

No se utiliza

Seleccione el tipo de parámetro y el ámbito para el canal.

Tipo

  • Termoelemento K

  • Termoelemento J

  • Termoelemento R

  • Termoelemento S

  • Termoelemento E

  • Termoelemento T

  • Termoelemento N

  • Termistor NTC

Ámbito

  • Personalizado

  • Centígrados (0,1 °C)

  • Fahrenheit (0,1 °F)

Centígrados (0,1 °C)

Tipo

  • Termoelemento B

  • Termoelemento C

Ámbito

  • Personalizado

  • Centígrados (0,1 °C)

  • Fahrenheit (0,2 °F)

Centígrados (0,1 °C)

Tipo

  • Termistor PTC

Ámbito

  • Personalizado

  • Umbral

Umbral

Tipo

  • Ohmímetro

Ámbito

  • Resistencia (Ω)

Resistencia

Mínimo

Consulte la tabla siguiente.

Especifica el límite de medida inferior.

Máximo

Consulte la tabla siguiente.

Especifica el límite de medida superior.

Rref (se utiliza solo con la sonda NTC)

De 1 a 65 535

330

Resistencia de referencia en ohmios a una temperatura Tref.

Tref (se utiliza solo con la sonda NTC)

De 1 a 1000

25

Valor de temperatura de referencia en centígrados.

Beta (se utiliza solo con la sonda NTC)

De 1 a 32 767

3569

Sensibilidad de la sonda NTC en Kelvin.

Filtro de entrada

De 0 a 1000

0

Especifica la constante del tiempo de filtrado de primer orden (0-10 s) en incrementos de 10 ms.

Muestreo

100 ms/canal

100 ms/canal

Especifica el período de muestreo del canal.

Estado habilitado

No

Habilita el tipo de diagnóstico de cada canal.

Si el estado está deshabilitado (valor = No), los bytes de estado IBStatusIWx no contendrán información relevante.

Umbral alto (se utiliza solo con la sonda PTC)

De 100 a 10 000

3100

Umbral de activación

Umbral bajo (se utiliza solo con la sonda PTC)

De 100 a 10 000

1500

Umbral de reactivación

La siguiente tabla indica los rangos de valores posibles del tipo de termoelemento seleccionado:

Tipo

Personalizado

Rango en Celsius

Rango en Fahrenheit

Termoelemento K

de -32 768 a 32 767

De -2000 a 13 000 (0,1 °C)

De -3280 a 23 720 (0,1 °F)

Termoelemento J

De -2000 a 10 000 (0,1 °C)

De -3280 a 18 320 (0,1 °F)

Termoelemento R

De 0 a 17 600 (0,1 °C)

De 320 a 32 000 (0,1 °F)

Termoelemento S

De 0 a 17 600 (0,1 °C)

De 320 a 32 000 (0,1 °F)

Termoelemento B

De 0 a 18 200 (0,1 °C)

De 160 a 16 540 (0,2 °F)

Termoelemento E

De -2000 a 8000 (0,1 °C)

De -3280 a 14 720 (0,1 °F)

Termoelemento T

De -2000 a 4000 (0,1 °C)

De -3280 a 7520 (0,1 °F)

Termoelemento N

De -2000 a 13 000 (0,1 °C)

De -3280 a 23 720 (0,1 °F)

Termoelemento C

De 0 a 23 150 (0,1 °C)

De 160 a 20 995 (0,2 °F)

Termistor NTC

De -900 a 1500 (0,1 °C)

De -1300 a 3020 (0,1 °F)

Termistor PTC

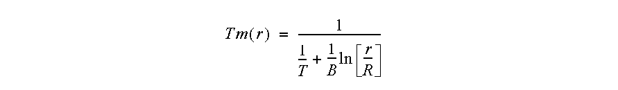
Termistor NTC

La temperatura (Tm) varía con respecto a la resistencia (r) de acuerdo con la ecuación siguiente:

Donde:

  • Tm = temperatura que ha medido la sonda, en grados Kelvin

  • r = valor físico de la resistencia en ohmios

  • R = resistencia de referencia en ohmios a una temperatura T

  • T = temperatura de referencia en Kelvin

  • B = sensibilidad de la sonda NTC en Kelvin

R, T y B deben ser mayores o iguales que 1.

NOTA: 25 °C = 77 °F = 298,15 K

Termistor PTC

Esta tabla describe el valor de lectura según la resistencia:

Valor de resistencia

Valor de lectura

Por debajo del umbral inferior

1

Entre umbrales

2

Por encima del umbral superior

4

Esta figura representa el funcionamiento de umbral:

Esta figura representa una curva de histéresis de ejemplo:

Ohmímetro

Esta tabla describe los valores mínimos y máximos:

Parámetro

Valor

Mínimo

100 Ω

Máximo

32 kΩ

Ficha Asignación E/S

Las variables pueden definirse y nombrarse en la ficha Asignación E/S. En esta ficha también hay disponible información adicional, como el direccionamiento topológico.

En esta tabla se describe la ficha Asignación E/S:

Variable

Canal

Tipo

Descripción

Entradas

IW0

INT

Valor actual de la entrada 0

IW1

INT

Valor actual de la entrada 1

IW2

INT

Valor actual de la entrada 2

IW3

INT

Valor actual de la entrada 3

IW4

INT

Valor actual de la entrada 4

IW5

INT

Valor actual de la entrada 5

IW6

INT

Valor actual de la entrada 6

IW7

INT

Valor actual de la entrada 7

Diagnóstico

IBStatusIW0

BYTE

Estado de la entrada 0

IBStatusIW1

BYTE

Estado de la entrada 1

IBStatusIW2

BYTE

Estado de la entrada 2

IBStatusIW3

BYTE

Estado de la entrada 3

IBStatusIW4

BYTE

Estado de la entrada 4

IBStatusIW5

BYTE

Estado de la entrada 5

IBStatusIW6

BYTE

Estado de la entrada 6

IBStatusIW7

BYTE

Estado de la entrada 7

Para obtener más información genérica, consulte Descripción de la ficha Asignación E/S.