FC_FourierPartialSum - General Information
|
Type: |
Function |
|
Available as of: |
V1.0.3.0 |
|
Versions: |
Current version |
This calculates a Fourier partial sum.
This calculates the value of a finite Fourier partial sum. The requirement for this is that first the Fourier coefficients have been calculated up to a sufficiently large index, using the function FC_FourierCoefficients.
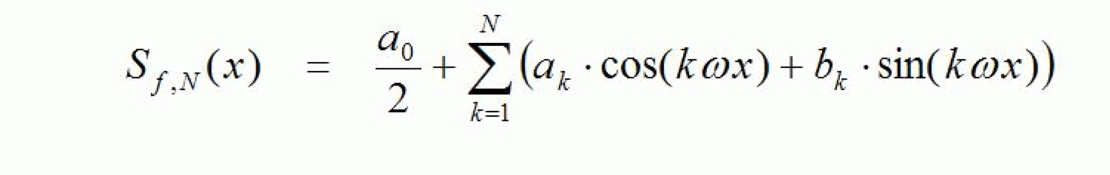
The Fourier partial sum for function f up to the index N has the following form (with regard to the definition of the Fourier coefficients see FC_FourierCoefficients):
Under suitable preconditions for the function f, S f, N approximates the latter as well as required for a sufficiently large N.
|
Input |
Data type |
Description |
|---|---|---|
|
i_lrXPeriod |
LREAL |
Period of the function / length of the definition range |
|
i_diMaxIndex |
DINT |
Index up to which the Fourier partial sum is to be calculated (designated above as N ). The Fourier coefficients must first have been calculated at least up to this index, using the function FC_FourierCoefficients. |
|
i_plrFourierCoefficientsA |
POINTER TO LREAL |
Pointer to the start of the array with Fourier coefficients A, which first have been calculated using the function FC_FourierCoefficients. |
|
i_plrFourierCoefficientsB |
POINTER TO LREAL |
Pointer to the start of the array with Fourier coefficients B, which first have been calculated using the function FC_FourierCoefficients. |
|
i_lrXValue |
LREAL |
X value for which the Fourier partial sum is to be calculated. |
|
Output |
Data type |
Description |
|---|---|---|
|
q_etDiag |
General library-independent statement on the diagnostic. A value not equal to ET_Diag.Ok corresponds to an diagnostic message. |
|
|
q_etDiagExt |
POU-specific output on the diagnostic. q_etDiag = ET_Diag.Ok -> Status message q_etDiag <> ET_Diag.Ok -> Diagnostic message |
|
|
q_lrFourierPartialSum |
LREAL |
Calculated value of the Fourier partial sum at the point i_lrXValue. |
|
q_etDiag |
q_etDiagExt |
Enumeration value |
Description |
|---|---|---|---|
|
OK |
0 |
Ok |
|
|
InputParameterInvalid |
61 |
MaxIndex is outside the valid range. |
|
|
InputParameterInvalid |
62 |
The pointer VourierCoefficientsA is invalid. |
|
|
InputParameterInvalid |
63 |
The pointer VourierCoefficientsB is invalid. |
|
|
InputParameterInvalid |
58 |
XPeriod is outside the valid range. |
|
Enumeration name: |
MaxIndexRange |
|
Enumeration value: |
61 |
|
Description: |
MaxIndex is outside the valid range. |
|
Issue |
Cause |
Solution |
|---|---|---|
|
- |
At the input i_diMaxIndex, an invalid value has been applied. |
At the input i_diMaxIndex, a value greater than or equal to 0 must be transferred. |
|
Enumeration name: |
Ok |
|
Enumeration value: |
0 |
|
Description: |
Ok |
The partial sum has been calculated successfully.
PointerFourierCoefficientsAInvalid
|
Enumeration name: |
PointerFourierCoefficientsAInvalid |
|
Enumeration value: |
62 |
|
Description: |
The pointer VourierCoefficientsA is invalid. |
|
Issue |
Cause |
Solution |
|---|---|---|
|
- |
At the input i_plrFourierCoefficientsA, an invalid value has been applied. |
At the input i_plrFourierCoefficientsA, a value not equal to 0 must be transferred. |
PointerFourierCoefficientsBInvalid
|
Enumeration name: |
PointerFourierCoefficientsBInvalid |
|
Enumeration value: |
63 |
|
Description: |
The pointer VourierCoefficientsB is invalid. |
|
Issue |
Cause |
Solution |
|---|---|---|
|
- |
At the input i_plrFourierCoefficientsB, an invalid value has been applied. |
At the input i_plrFourierCoefficientsB, a value not equal to 0 must be transferred. |
|
Enumeration name: |
XPeriodRange |
|
Enumeration value: |
58 |
|
Description: |
XPeriod is outside the valid range. |
|
Issue |
Cause |
Solution |
|---|---|---|
|
- |
At the input i_lrXPeriod, a number smaller than Gc_lrZeroTolerance has been applied. |
i_lrXPeriod must be greater than 0. |