TM3TI8T / TM3TI8TG

Einführung

Das Erweiterungsmodul TM3TI8T (Schraubklemmenleiste)/TM3TI8TG (Federklemmenleiste) hat acht analoge Eingangskanäle mit einer Auflösung von 16 Bit.

Folgende Eingangskanäle sind verfügbar:

oThermoelement K

oThermoelement J

oThermoelement R

oThermoelement S

oThermoelement B

oThermoelement E

oThermoelement T

oThermoelement N

oThermoelement C

oNTC-Thermistor

oPTC-Thermistor

oOhmmeter

Informationen zu den von den jeweiligen Eingabetypen erzeugten Diagnosecodes finden Sie unter Diagnose analoger E/A-Module.

Weitere Hardwareinformationen finden Sie unter TM3TI8T / TM3TI8TG.

HINWEIS: Wenn Sie den Analogkanal physisch für ein Spannungssignal verdrahtet haben und Sie den Kanal in EcoStruxure Machine Expert für ein Stromsignal konfigurieren, kann die Analogschaltung dadurch beschädigt werden.

HINWEIS

GERÄT NICHT BETRIEBSBEREIT

Vergewissern Sie sich, dass die physische Verdrahtung der Analogschaltung mit der Software­konfiguration für den Analogkanal kompatibel ist.

Die Nichtbeachtung dieser Anweisungen kann Sachschäden zur Folge haben.

Konfiguration des Moduls

Sie können für jeden Eingang die folgenden Parameter definieren:

Parameter

Wert

Standardwert

Beschreibung

Typ

oNicht verwendet

-

Nicht verwendet

Wählen Sie den Parametertyp und den Bereich für den Kanal aus.

Typ

oThermoelement K

oThermoelement J

oThermoelement R

oThermoelement S

oThermoelement E

oThermoelement T

oThermoelement N

oNTC-Thermistor

Sichtbarkeit

oBenutzerdefiniert

oCelsius (0,1 °C)

oFahrenheit (0,1 °F)

Celsius (0,1 °C)

Typ

oThermoelement B

oThermoelement C

Sichtbarkeit

oBenutzerdefiniert

oCelsius (0,1 °C)

oFahrenheit (0,2 °F)

Celsius (0,1 °C)

Typ

oPTC-Thermistor

Sichtbarkeit

oBenutzerdefiniert

o Schwellenwert

 Schwellenwert

Typ

oOhmmeter

Sichtbarkeit

oWiderstand (Ω)

Widerstand

Minimum

Siehe nachstehende Tabelle

Gibt den unteren Messgrenzwert an.

Maximum

Siehe nachstehende Tabelle

Gibt den oberen Messgrenzwert an.

Rref (nur mit NTC-Sonde verwendet)

1...65535

330

Referenzwiderstand in Ohm bei Temperatur Tref

Tref (nur mit NTC-Sonde verwendet)

1...1000

25

Wert der Referenztemperatur in Grad Celsius.

Beta (nur mit NTC-Sonde verwendet)

1...32767

3569

Empfindlichkeit der NTC-Sonde in Kelvin.

Eingangsfilter

0 bis 1000

0

Verweist auf die Filterzeitkonstante (1 bis 10 s) der ersten Ordnung in Inkrementen zu je 10 ms.

Abtasten

100 ms/Kanal

100 ms/Kanal

Zeigt die Abtastperiode für den Kanal an.

Status aktiviert

Ja

Nein

Ja

Aktiviert das Diagnosebyte der einzelnen Kanäle.

Wenn der Status deaktiviert ist (Wert = Nein), enthält das Statusbyte IBStatusIWx keine relevanten Informationen.

Oberer Schwellenwert (nur mit PTC-Sonde verwendet)

100...10000

3100

Aktivierungsschwellwert

Unterer Schwellenwert (nur mit PTC-Sonde verwendet)

100...10000

1500

Reaktivierungsschwellwert

Die folgende Tabelle zeigt die möglichen Bereichswerte für den ausgewählten Thermoelement-Typ an:

Typ

Benutzerdefiniert

Bereich in Celsius

Bereich in Fahrenheit

Thermoelement K

-32768...32767

-2000 bis 13000  (0,1 °C)

-3280 bis 23720  (0,1 °F)

Thermoelement J

-2000 bis 10000  (0,1 °C)

-3280 bis 18320  (0,1 °F)

Thermoelement R

0 bis 17600  (0,1 °C)

320 bis 32000  (0,1 °F)

Thermoelement S

0 bis 17600  (0,1 °C)

320 bis 32000  (0,1 °F)

Thermoelement B

0 bis 18200  (0,1 °C)

160 bis 16540  (0,2 °F)

Thermoelement E

-2000 bis 8000  (0,1 °C)

-3280 bis 14720  (0,1 °F)

Thermoelement T

-2000 bis 4000  (0,1 °C)

-3280 bis 7520  (0,1 °F)

Thermoelement N

-2000 bis 13000  (0,1 °C)

-3280 bis 23720  (0,1 °F)

Thermoelement C

0 bis 23150  (0,1 °C)

160 bis 20995  (0,2 °F)

NTC-Thermistor

-900 bis 1500  (0,1 °C)

-1300 bis 3020  (0,1 °F)

PTC-Thermistor

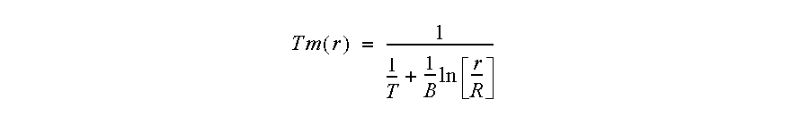
NTC-Thermistor

Die Temperatur (Tm) variiert im Verhältnis zum Widerstand (r) entsprechend der folgenden Gleichung:

G-SE-0005294.2.gif-high.gif

 

 

Dabei gilt:

oTm = von der Sonde gemessene Temperatur in Kelvin

or = Physikalischer Wert des Widerstands in Ohm

oR = Referenzwiderstand in Ohm bei Temperatur T

oT = Referenztemperatur in Kelvin

oB = Empfindlichkeit der NTC-Sonde in Kelvin

R, T und B müssen größer oder gleich 1 sein.

HINWEIS: 25 °C = 77 °F = 298,15 K

PTC-Thermistor

Die folgende Tabelle beschreibt den gelesenen Wert gemäß dem Widerstand:

Widerstandswert

Gelesener Wert

Unter dem niedrigen Schwellwert

1

Zwischen Schwellenwerten

2

Über dem hohen Schwellwert

4

Die nachstehende Abbildung zeigt die Funktionsweise des Schwellenwerts:

G-SE-0041405.1.gif-high.gif

 

 

Die folgende Abbildung zeigt ein Beispiel für eine Hysteresekurve:

G-SE-0041407.1.gif-high.gif

 

 

Ohmmeter

Die nachstehende Tabelle beschreibt die Mindest- und Höchstwerte:

Parameter

Wert

Minimum

100 Ω 

Maximum

32 kΩ

Registerkarte „E/A-Abbild“

Auf der Registerkarte E/A-Abbild können Variablen definiert und benannt werden. Weiterhin sind auf dieser Registerkarte zusätzliche Informationen wie die topologische Adressierung enthalten.

Die folgende Tabelle enthält eine Beschreibung der Registerkarte E/A-Abbild:

Variable

Kanal

Typ

Beschreibung

Eingänge

IW0

INT

Aktueller Wert von Eingang 0

IW1

INT

Aktueller Wert von Eingang 1

IW2

INT

Aktueller Wert von Eingang 2

IW3

INT

Aktueller Wert von Eingang 3

IW4

INT

Aktueller Wert von Eingang 4

IW5

INT

Aktueller Wert von Eingang 5

IW6

INT

Aktueller Wert von Eingang 6

IW7

INT

Aktueller Wert von Eingang 7

Diagnose

IBStatusIW0

BYTE

Status von Eingang 0

IBStatusIW1

BYTE

Status von Eingang 1

IBStatusIW2

BYTE

Status von Eingang 2

IBStatusIW3

BYTE

Status von Eingang 3

IBStatusIW4

BYTE

Status von Eingang 4

IBStatusIW5

BYTE

Status von Eingang 5

IBStatusIW6

BYTE

Status von Eingang 6

IBStatusIW7

BYTE

Status von Eingang 7

Weitere allgemeine Beschreibungen finden Sie unter Beschreibung der Registerkarte „E/A-Abbild“.