TM3TI8T(螺钉端子块)/TM3TI8TG(卡簧端子块)扩展模块具有 8 个 16 位分辨率的模拟量输入通道。
通道输入类型有:
o热电偶 K
o热电偶 J
o热电偶 R
o热电偶 S
o热电偶 B
o热电偶 E
o热电偶 T
o热电偶 N
o热电偶 C
oNTC 热敏电阻
oPTC 热敏电阻
o欧姆计
有关各种输入类型产生的诊断代码的信息,请参阅模拟量 I/0 模块诊断。
有关详细的硬件信息,请参阅 TM3TI8T / TM3TI8TG。
注意: 如果您已物理连接电压信号的模拟量通道,并在 EcoStruxure Machine Expert 中将此通道配置用于电流信号,则可能会损坏模拟量电路。
|
注意 |
|
设备无法操作 |
|
确认模拟电路的物理线路与模拟量通道的软件配置兼容。 |
|
不遵循上述说明可能导致设备损坏。 |
您可以为每个输入定义以下参数:
|
参数 |
值 |
缺省值 |
描述 |
|
|---|---|---|---|---|
|
类型 o未使用 |
- |
未使用 |
为通道选择参数类型和范围。 |
|
|
类型 o热电偶 K o热电偶 J o热电偶 R o热电偶 S o热电偶 E o热电偶 T o热电偶 N oNTC 热敏电阻 |
范围 o自定义 o摄氏度 (0.1 °C) o华氏度 (0.1 °F) |
摄氏度 (0.1 °C) |
||
|
类型 o热电偶 B o热电偶 C |
范围 o自定义 o摄氏度 (0.1 °C) o华氏度 (0.2 °F) |
摄氏度 (0.1 °C) |
||
|
类型 oPTC 热敏电阻 |
范围 o自定义 o阈值 |
阈值 |
||
|
类型 o欧姆计 |
范围 o电阻 (Ω) |
电阻 |
||
|
最小值 |
请参见下表 |
指定测量下限。 |
||
|
最大值 |
请参见下表 |
指定测量上限。 |
||
|
Rref(仅用于 NTC 探测器) |
1...65535 |
330 |
温度为 Tref 时的参考电阻(欧姆)。 |
|
|
Tref(仅用于 NTC 探测器) |
1...1000 |
25 |
以摄氏度表示的参考温度值。 |
|
|
Beta(仅用于 NTC 探测器) |
1...32767 |
3569 |
以开氏度表示的 NTC 探测器灵敏度. |
|
|
输入滤波器 |
0...1000 |
0 |
以 10 毫秒为增量指定一阶滤波器时间常数(0 到 10 秒)。 |
|
|
采样 |
100 毫秒/通道 |
100 毫秒/通道 |
指定通道的采样周期。 |
|
|
状态已启用 |
是 否 |
是 |
启用每个通道的诊断字节。 如果禁用状态(值 = 否),则状态字节 IBStatusIWx 不包含相关信息。 |
|
|
阈值上限(仅用于 PTC 探测器) |
100...10000 |
3100 |
激活阈值 |
|
|
阈值下限(仅用于 PTC 探测器) |
100...10000 |
1500 |
重新激活阈值 |
|
下表指示所选热电偶类型的可能范围值:
|
类型 |
自定义 |
摄氏度范围 |
华氏度范围 |
|---|---|---|---|
|
热电偶 K |
-32768...32767 |
-2000...13000 (0.1°C) |
-3280...23720 (0.1°F) |
|
热电偶 J |
-2000...10000 (0.1°C) |
-3280...18320 (0.1°F) |
|
|
热电偶 R |
0...17600 (0.1°C) |
320...32000 (0.1°F) |
|
|
热电偶 S |
0...17600 (0.1°C) |
320...32000 (0.1°F) |
|
|
热电偶 B |
0...18200 (0.1°C) |
160...16540 (0.2°F) |
|
|
热电偶 E |
-2000...8000 (0.1°C) |
-3280...14720 (0.1°F) |
|
|
热电偶 T |
-2000...4000 (0.1°C) |
-3280...7520 (0.1°F) |
|
|
热电偶 N |
-2000...13000 (0.1°C) |
-3280...23720 (0.1°F) |
|
|
热电偶 C |
0...23150 (0.1°C) |
160...20995 (0.2°F) |
|
|
NTC 热敏电阻 |
-900...1500 (0.1°C) |
-1300...3020 (0.1°F) |
|
|
PTC 热敏电阻 |
– |
– |
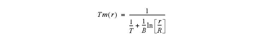
温度 (Tm) 随电阻 (r) 变化,符合以下公式:
其中:
oTm = 探测器测量到的温度(开氏度)
or = 电阻的物理值(欧姆)
oR = 温度为 T 时的参考电阻(欧姆)
oT = 参考温度(开氏度)
oB = NTC 探测器的灵敏度(开氏度)
R、T 和 B 必须大于或等于 1。
注意: 25 °C = 77 °F = 298.15 K
下表说明随电阻而变的读取值:
|
电阻值 |
读取值 |
|---|---|
|
低于阈值下限 |
1 |
|
介于阈值上下限之间 |
2 |
|
高于阈值上限 |
4 |
下图表现阈值工作过程:
下图表现示例滞后曲线:
下表说明最小和最大值:
|
参数 |
值 |
|---|---|
|
最小值 |
100 Ω |
|
最大值 |
32 kΩ |
可以在 I/O 映射选项卡中定义和命名变量。此选项卡还提供其他信息,例如拓扑寻址。
下表描述了 I/O 映射选项卡:
|
变量 |
通道 |
类型 |
描述 |
|---|---|---|---|
|
输入 |
IW0 |
INT |
输入 0 的当前值 |
|
IW1 |
INT |
输入 1 的当前值 |
|
|
IW2 |
INT |
输入 2 的当前值 |
|
|
IW3 |
INT |
输入 3 的当前值 |
|
|
IW4 |
INT |
输入 4 的当前值 |
|
|
IW5 |
INT |
输入 5 的当前值 |
|
|
IW6 |
INT |
输入 6 的当前值 |
|
|
IW7 |
INT |
输入 7 的当前值 |
|
|
诊断 |
IBStatusIW0 |
BYTE |
|
|
IBStatusIW1 |
BYTE |
||
|
IBStatusIW2 |
BYTE |
||
|
IBStatusIW3 |
BYTE |
||
|
IBStatusIW4 |
BYTE |
||
|
IBStatusIW5 |
BYTE |
||
|
IBStatusIW6 |
BYTE |
||
|
IBStatusIW7 |
BYTE |
有关详细的一般描述,请参阅“I/O 映射”选项卡描述。