TM2ARI8HT

Introduction

Ce module d'extension est un module d'entrée à 8 points, température, avec un bornier.

Pour plus d'informations sur le matériel, consultez TM2ARI8HT.

Si vous avez câblé physiquement la voie analogique pour un signal de tension et que vous configurez cette voie pour un signal de courant dans EcoStruxure Machine Expert, vous risquez d'endommager le circuit analogique.

AVIS

EQUIPEMENT INOPERANT

Assurez-vous que le câblage physique du circuit analogique est compatible avec la configuration logicielle de la voie analogique.

Le non-respect de ces instructions peut provoquer des dommages matériels.

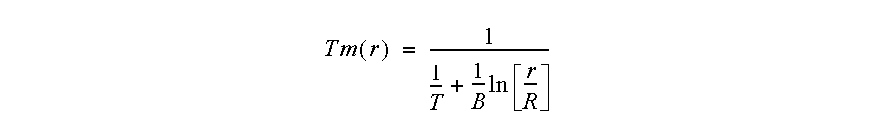
Sonde NTC

La température (Tm) varie en fonction de la résistance (r) selon l'équation ci-dessous :

G-SE-0005294.3.gif-high.gif

 

 

Où :

oTm = Température mesurée par la sonde en kelvins

or = Valeur physique de la résistance en Ohms

oR = Résistance de référence en Ohms à une température T

oT = Température de référence en kelvins

oB = Sensibilité de la sonde NTC en kelvins

Les valeurs R,T et B doivent être supérieures ou égales à 1.

Si la résistance est sélectionnée comme unité, la valeur affichée est égale à la résistance de la sonde.

NOTE : 25 °C = 77 °F = 298,15 K

Sonde PTC

Le tableau suivant indique la valeur lue en fonction de la valeur de la résistance :

Valeur de la résistance

Valeur lue

Valeur inférieure au seuil inférieur

1

Entre les seuils

2

Valeur supérieure au seuil supérieur

4

G-SE-0041405.1.gif-high.gif

 

 

Onglet Configuration d'E/S

Cet onglet vous permet de configurer le module comme un module facultatif, et de configurer les entrées.

G-RU-0010586.5.gif-high.gif

 

 

Pour chaque entrée, vous pouvez définir les éléments suivants :

Paramètre

Valeur

Valeur par défaut

Description

Type

Inutilisé

NTC

PTC

Inutilisé

Identifie le mode du canal.

Portée

Normal

Personnalisé

Résistance (Ohm)

Celsius (0,1 °C)

Fahrenheit (0,1 °F)

Normal pour le type NTC

Résistance (en Ohms) pour le type PTC

Identifie la plage de valeurs du canal.

Minimum

Normal

0

0

Indique la limite de mesure inférieure.

Personnalisé

-32 768 à 32 767

-32 768

Maximum

Normal

1 023

1 023

Indique la limite de mesure supérieure.

Personnalisé

-32 768 à 32 767

32 767

Rref (utilisé uniquement avec une sonde NTC)

1 à 65 535

330

Résistance de référence en Ohms à la température Tref

Tref (utilisé uniquement avec une sonde NTC)

1 à 65 000

29 815

Valeur de température de référence en kelvins (0,01 K)

Beta (utilisé uniquement avec une sonde NTC)

1 à 32 767

3 569

Sensibilité de sonde NTC en kelvins (0,01 K)

Seuil supérieur (utilisé uniquement avec une sonde PTC)

100 à 10 000

3 100

Seuil d'activation

Seuil inférieur (utilisé uniquement avec une sonde PTC)

100 à 10 000

1 500

Seuil de réarmement

Portée

Résistance (Ohm)

Celsius (0,1 °C)

Fahrenheit (0,1 °F)

Minimum

Maximum

Minimum

Maximum

Minimum

Maximum

NTC

100

10 000

-789

2 114

-1 101

4 125

PTC

100

10 000

-

-

-

-

Pour plus d'informations, consultez la rubrique Description de l'onglet Configuration d'E/S.

Onglet Mappage E/S

Identifie les adresses de chaque entrée et le nom du canal :

G-SE-0005257.2.gif-high.gif

 

 

Canal

Type

Description

IW0

INT

Valeur actuelle de l'entrée 0

à

à

à

IW7

INT

Valeur actuelle de l'entrée 7

Pour plus d'informations, consultez la section Description de l'onglet Mappage E/S.