Integral (FB)

FUNCTION_BLOCK Integral

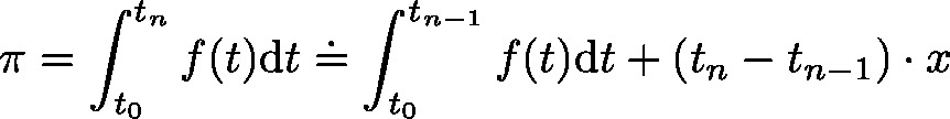
This function block will approximate the integral function of the fuction over the time interval between the first function call and the actual time : . The size of the time intervals are integers and measured in micro seconds. The approximation is carried out by use of the explicit () resp. implicit () Euler method:

InOut:

Scope

Name

Type

Initial

Comment

Input

xEnable

BOOL

 

reset

lrInputValue

LREAL

 

function value (corresponds to :math`x`)

udiTM

UDINT

 

size of time interval (equals time passed since last call to function)

Output

lrIntegral

LREAL

 

approximated value of integral

xOverflow

BOOL

FALSE

error flag

TRUE: If an overflow has occured